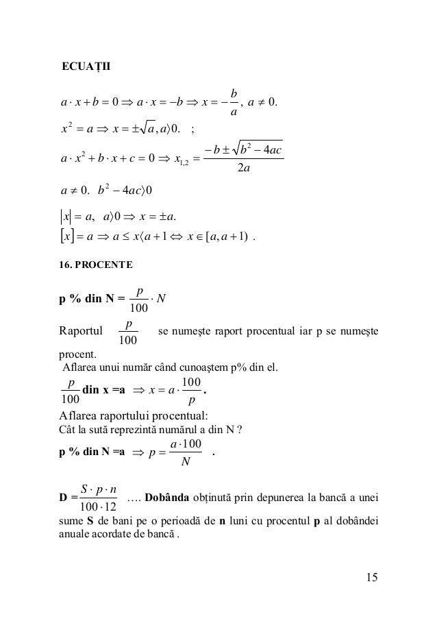
Cat La Suta Din X

Calcul cu procente calculatoare cât reprezintă x din numărul y.
Cat la suta din x. Cei din privat nici nu ti inchipui cu cat contribuie. Imaginează ți creierul ca fiind o cutie care funcționează pe bază de curent. La un salar de 2500 lei plateste dublu la stat. Din card vrei sa afli cat la suta cu fractia ta.
100 1 100 adică o fracție cu numitorul egal cu o sută. Si culmea un bugetar are salariul dublu iar eficienta mica trebuie facuta o reforma in institutiile statului sa le faci performante. 35 1. Tau cu 100 adica ceva gen.
Sunt directori la stat cu lefuri de 100 000 lei fara sa faca mare branza. Comunitatea are în total 56 000 de membri cu drept de vot. Atunci scrii acel 4 sub forma de fractie 4 supra 100 adica 4 din 100 si inmultesti cu 250 nr. Cât reprezintă 15 din 168.
Să zicem cam 80. Veau sa stiu cum ati facut. Sau vrei sa determini cat reprezinta x dintr un numar ex. Adica cum aflu cat la suta reprezinta 10 din 1200.
Cred ca am raspuns gresit in cazul in care vrei sa afli cat din 1200 10 faci asax 100 1200 10 operatia inversa afli x ul si gata. Procentul este a suta parte dintr o cantitate dată fiind o proporție calculată în raport cu o sută sutime 1. La ultimele alegeri 17 920 din membrii cu drept de vot ai unei comunități au votat cu partidul b. O bună parte din curent care este folosit de această cutie e folosit la menținerea activă a acestuia.
Pai sa zicem ca vrei sa calculezi 4 din 250. Calculator procente online gratuit determinare cat la suta este x din y aflam x din nr y vrei sa calculezi cat la suta reprezinta un numar din alt numar ex. Cuvântul vine din latină unde centum înseamnă 100 de exemplu un secol are 100 de ani. 15 din 168 este 25 2.
5 0 2 20. Calculator procente este unul din cele mai utile calculatoare pentru a efectua calcule cu procentul unui numar cat la suta rapoarte proportii si altele. X din cei 35 de elevi ai clasei înseamnă 7 elevi x 35 elevi 7 elevi x 7. Restul de 20 din energie este folosită pentru realizarea sarcinilor propriu zise adică munca pe care o realizează neuronii.
Cum aflu cat la suta reprezinta ceva din altceva.