Coeficienti De Criminalitate 2018

Deva ridicat 3 mun.
Coeficienti de criminalitate 2018. 10 11 12 14 16 20 21 22 24 26 28 29 municipiul ora9 comunä media criminalitätii judetene dr. Severin urban baia de aramä urban. 1 se calculează pentru un an calendaristic prin însumarea valorilor regăsite la. Newsletter aboneaza te la newsletter.
2 corbeanca52scăzut 3 mogosoaia91mediu. 2 coeficienţii prevăzuţi la alin. Coeficientii de criminalitate suceava 2018. Călăraşi 1953 95 ridicat 2.
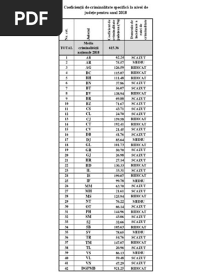
3 coeficienţii de criminalitate specifică la nivel. Coeficienti de criminalitate specifici pentru judetul hunedoara 2018 nr. Hunedoara 1204 49 ridicat 4 843 14 mun. Coeficienţii de criminalitate specifică la nivel de judeţe pentru anul 2018 t.
Coeficienti de criminalitate 2018 maramures. Pentru stabilirea nivelului ameninţărilor se asociază coeficienţii de criminalitate specifică calculaţi la nivel de judeţ şi de zonă pe baza datelor statistice înregistrate de structurile de cazier şi evidenţă operativă din i g p r direcţia generală de poliţie a. Recomandări privind conduita socială responsabilă în prevenirea răspândirii coronavirus covid 19. Modelu 0 00 scazut 3.
ţul ient tat a tat e total media criminalităţii naţionale 2018 615 36 1 ab 62 24 scazut 2 ar 75 57 mediu 3 ag 126 59 ridicat 4 bc 115 87 ridicat 5 bh 111 48 ridicat 6 bn 37 86 scazut 7 bt 56 07 scazut. Coeficienţii de criminalitate specifică la nivel de oraş comună pentru judeţul ilfov pentru anul 2018. Domeniul de incadrare a ratei de criminalitate. Localitatea coeficient de criminalitate local.
Coeficienti de criminalitate specifica judetul calarasi 2018 nr. Coeficientii de criminalitate locali la nivelul judetului timis aferenti anului 2018. Articolul 19 coeficienti de criminalitate detalii. Coeficient de criminalitate domeniu de încadrare a ratei de criminalitate media criminalităţii judeţene 138 94 ridicat 1 apata 0 00 scazut 2 augustin 6 90 scazut 3 beclean 6 90 scazut 4 bod 6 90 scazut 5 bran 6 90 scazut 6 budila 20 70 scazut 7 bunesti 0 00 scazut 8 cata 6 90 scazut 9 cincu 0 00 scazut 10 codlea 269 15 ridicat 11 comana 0.
Poliția mun oraș secția de poliție coeficient de criminalitate municipiu oraş comună domeniu de încadrare a ratei de criminalitate media criminalităţii judeţene 11 62 1 mun. 1 pentru stabilirea nivelului ameninţărilor se asociază coeficienţii de criminalitate specifică calculaţi la nivel de.